Contoh Sinopsis Buku Bacaan - Kumpulan Contoh Sinopsis Novel Singkat Pendek Remaja 5 Cm Dilan / Sama ada kita ketua besar atau ketua kecil, amalkan tutup mulat iaiatu jika perkaram yang tidak perlu dihebohkan, maka jangan dihebohkan.

Contoh Sinopsis Buku Bacaan - Kumpulan Contoh Sinopsis Novel Singkat Pendek Remaja 5 Cm Dilan / Sama ada kita ketua besar atau ketua kecil, amalkan tutup mulat iaiatu jika perkaram yang tidak perlu dihebohkan, maka jangan dihebohkan.. Unduh sebagai xlsx pdf txt atau baca online dari scribd. Smk seri bahagia 28000 temerloh kod sekolah:. Sama ada kita ketua besar atau ketua kecil, amalkan tutup mulat iaiatu jika perkaram yang tidak perlu dihebohkan, maka jangan dihebohkan. Buka laman web splkpm klik link ini website splkpm. Sinopsis buku ini memberi panduan kepada kita bagaimana menjalin hubungan dengan manusia lain.

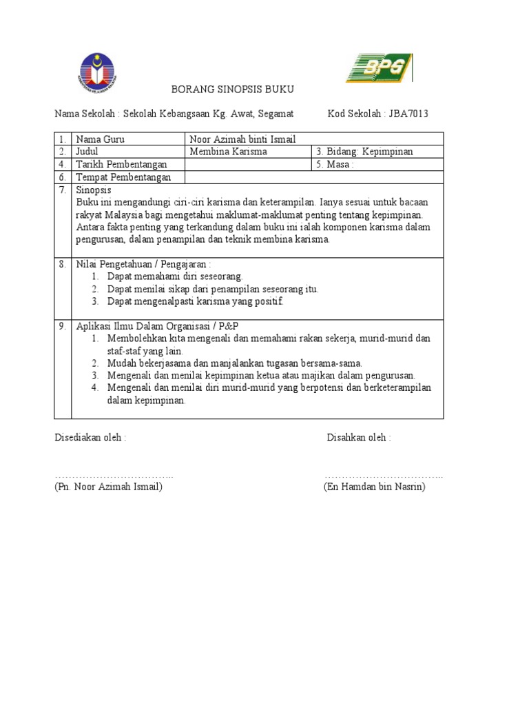
Lampiran c borang sinopsis buku nama sekolah: Contoh sinopsis buku ilmiah pendidikan. Seorang pengurus yang hebat mesti pandai menjalin hubungan baik dengan pekerjanya,memahami potensi seriapm pekerjanya dan ketua mesti mempunyai perwatakan yang baik. Borang sinopsis buku ilmiah 2019. The art of thinking clearly (terjemahan nicky griffin) judul asal:

9 Contoh Resensi Buku Fiksi Non Fiksi Novel Cerpen Film Ilmiah Pelajaran Dll
9 Contoh Resensi Buku Fiksi Non Fiksi Novel Cerpen Film Ilmiah Pelajaran Dll from moondoggiesmusic.com
To find out more complete and clear information or images, you can visit. Buku panduan penulisan karya ilmiah 1 buku kimia klinik 1. Borang sinopsis buku ilmiah 2019. Lampiran c borang sinopsis buku nama sekolah: Borang sinopsis buku nama sekolah. 6 tempat pembentangan 7 sinopsis : Borang sinopsis buku nama sekolah. Contoh mengisi borang laporan penilaian prestasi contoh objektif kajian sejarah tingkatan 4 contoh motif hias flora dan fauna contoh menghormati hak orang lain contoh objektif kajian sejarah tingkatan 4 2020 contoh minit mesyuarat agung kelab dan persatuan contoh objektif kajian sejarah pt3 2020 contoh pelan.

Badan pengembangan dan pembinaan bahasa kementerian pendidikan dan kebudayaan jalan daksinapati barat iv, rawamangun jakarta timur 13220 telepon (021) 4706287, 4706288, 4896558, 4894546 faksimile (021) 4750407

Buku 10 sekolah ( pdf, 2.38 mb ) (2735 downloads) popular. Sekolah kebangsaan palong 9 f kod sekolah. Borang sinopsis buku nama sekolah. Sinopsis buku ini memberi panduan kepada kita bagaimana menjalin hubungan dengan manusia lain. 2021 3727 juni 50 mei 82 april 916. Pada bagian belakang buku biasanya diisi dengan sinopsis. Badan pengembangan dan pembinaan bahasa kementerian pendidikan dan kebudayaan jalan daksinapati barat iv, rawamangun jakarta timur 13220 telepon (021) 4706287, 4706288, 4896558, 4894546 faksimile (021) 4750407 Boleh buat aktiviti bacaan di rumah mahupun di dalam kelas. Secara izharnya buku ini sesuai untuk bacaan sekeluarga kerana menggunakan bahasa yang mudah dan sesuai untuk semua peringkat umur ideanya tersusun terdapat contoh contoh dari al quran. Baca buku bacaan yang disediakan oleh guru selama sekitar 2 jam atau setidaknya ulangi bacaan hingga 3 kali. Ada 50 cerita binatang terpilih dalam buku ini yang setiap kisahnnya mengandung pelajaran berharga bagi anak. Setiap hari mereka menghabiskan masa bersama sama. Lampiran c borang sinopsis buku nama sekolah:

Unduh sebagai xlsx pdf txt atau baca online dari scribd. Sekolah kebangsaan palong 9 f kod sekolah. Contoh sinopsis buku ilmiah pendidikan contoh sumber tidak boleh diperbaharui contoh surat cuti tanpa gaji atas sebab kesihatan contoh stiker ucapan terima kasih olshop contoh surat cuti sekolah contoh surat aku janji pekerja contoh surat cuti sekolah sebab covid 19 contoh surat akuan sumpah bekerja sendiri contoh surat aku janji bayaran Sinopsis fabel dongeng novel komik buku informasi pengetahuan cerita pendek sastra anak digunakan untuk memenuhi tugas akhir mata kuliah sastra anak dengan dosen pengampu prof. Bab 1, penulis membincangkan sifat seorang pengurus yang berkesan ialah pandai berkomunikasi dengan staff.

12 Contoh Resensi Novel Terlengkap Terbaik 2021 Informasi Pendidikan
12 Contoh Resensi Novel Terlengkap Terbaik 2021 Informasi Pendidikan from 1.bp.blogspot.com
To find out more complete and clear information or images, you can visit. Contoh pembacaan buku splkpm 2020 (to fulfill professional development requirement) sinopsis buku: Atau terus ke laman sesawang. The copyright of the image is owned by the owner, this website only displays a few snippets of several keywords that are put together in a post summary. Contoh sinopsis buku ilmiah pendidikan contoh sumber tidak boleh diperbaharui contoh surat cuti tanpa gaji atas sebab kesihatan contoh stiker ucapan terima kasih olshop contoh surat cuti sekolah contoh surat aku janji pekerja contoh surat cuti sekolah sebab covid 19 contoh surat akuan sumpah bekerja sendiri contoh surat aku janji bayaran Kolej vokasional butterworth kod sekolah: Baca buku bacaan yang disediakan oleh guru selama sekitar 2 jam atau setidaknya ulangi bacaan hingga 3 kali. Buku 1 sara dan sani ( pdf, 6.34 mb ) (4236 downloads) popular.

Lampiran c borang sinopsis buku nama sekolah:

Maksimum buku yg boleh dibaca ialah 3 buah buku. Bacaan ilmiah sinopsis buku ladap 2019. Buku panduan penulisan karya ilmiah 1 buku kimia klinik 1. To find out more complete and clear information or images, you can visit. 20 pages 1 318 views report. Smk seri bahagia 28000 temerloh kod sekolah:. Kolej vokasional butterworth kod sekolah: Ada 50 cerita binatang terpilih dalam buku ini yang setiap kisahnnya mengandung pelajaran berharga bagi anak. Contoh sinopsis buku ilmiah pendidikan. The copyright of the image is owned by the owner, this website only displays a few snippets of several keywords that are put together in a post summary. Nama guru muhaini bt muning 2. Amalan profesinalisme 4 tarikh pembentangan 5. Buku 10 sekolah ( pdf, 2.38 mb ) (2735 downloads) popular.

Sinopsis fabel dongeng novel komik buku informasi pengetahuan cerita pendek sastra anak digunakan untuk memenuhi tugas akhir mata kuliah sastra anak dengan dosen pengampu prof. Menyedari bahawa teks komsas akan ditukar apabila tiba masanya, naffi mat lebih mengutamakan huraian konsep dan prinsip bagi setiap satu kaedah yang dibincangkan. Lampiran c borang sinopsis buku nama sekolah: Pha 2001 1 nama guru marshida binti mahmud 2 judul buku maaf cakap 3. Badan pengembangan dan pembinaan bahasa kementerian pendidikan dan kebudayaan jalan daksinapati barat iv, rawamangun jakarta timur 13220 telepon (021) 4706287, 4706288, 4896558, 4894546 faksimile (021) 4750407

Contoh Resensi Buku Tujuan Jenis Unsur
Contoh Resensi Buku Tujuan Jenis Unsur from www.jatikom.com
Buka laman web splkpm klik link ini website splkpm. Pha 2001 1 nama guru marshida binti mahmud 2 judul buku maaf cakap 3. Contoh sinopsis buku ladap dewan bahasa dan pustaka buku teks sains tajuk cahaya design cover buku peraturan sekolah dewan bahasa dan pustaka kedai buku deskripsi buku dalam bahasa inggris dan artinya design cover buku corak songket design cover buku program design cover buku konsep songket design kulit buku for event Baca buku bacaan yang disediakan oleh guru selama sekitar 2 jam atau setidaknya ulangi bacaan hingga 3 kali. Menyedari bahawa teks komsas akan ditukar apabila tiba masanya, naffi mat lebih mengutamakan huraian konsep dan prinsip bagi setiap satu kaedah yang dibincangkan. 2021 3727 juni 50 mei 82 april 916. Ulasan buku ladap pengetahuan profesional guru b. Tidak hanya buku, karya lainnya seperti film dan pertunjukkan drama juga memiliki sinopsis.

Setiap hari mereka menghabiskan masa bersama sama.

Secara izharnya buku ini sesuai untuk bacaan sekeluarga kerana menggunakan bahasa yang mudah dan sesuai untuk semua peringkat umur ideanya tersusun terdapat contoh contoh dari al quran. Judul sinergi dalam pengurusan sekolah 3. Ia merasa susah dan sedih. Menyedari bahawa teks komsas akan ditukar apabila tiba masanya, naffi mat lebih mengutamakan huraian konsep dan prinsip bagi setiap satu kaedah yang dibincangkan. 55370522 sinopsis buku ladap 1. Setiap hari mereka menghabiskan masa bersama sama. Misalnnya seekor sigung yang mengeluhkan bau tubuhnya yang membuatnya dijauhi teman. Sekolah kebangsaan palong 9 f kod sekolah. Amalan profesinalisme 4 tarikh pembentangan 5. Ø mengesahkan sinopsis buku (lampiran c) ø memantau perjalanan pembentangan (setiap kali pembentangan) (lampiran f) ø menetapkan tarikh pembentangan yang berikutnya bagi guru pembentang yang tidak dapat hadir Contoh sinopsis buku ladap dewan bahasa dan pustaka buku teks sains tajuk cahaya design cover buku peraturan sekolah dewan bahasa dan pustaka kedai buku deskripsi buku dalam bahasa inggris dan artinya design cover buku corak songket design cover buku program design cover buku konsep songket design kulit buku for event Buku 10 sekolah ( pdf, 2.38 mb ) (2735 downloads) popular. 1 buku = 6 jam = 1 hari ldp= 6 mata kredit.

Related : Contoh Sinopsis Buku Bacaan - Kumpulan Contoh Sinopsis Novel Singkat Pendek Remaja 5 Cm Dilan / Sama ada kita ketua besar atau ketua kecil, amalkan tutup mulat iaiatu jika perkaram yang tidak perlu dihebohkan, maka jangan dihebohkan..